» Diesen Beitrag als PDF-Datei herunterladen.
Mit GwR kann man Funktionsgraphen, insbesondere der Funktion Q: s → Q(s), darstellen. Wendet man dies auf Sickerschlitze an, so erhält man Ergebnisse, bei denen man spontan an einen Fehler denkt: "Das kann nicht sein!". Ich habe daraufhin in der Hilfe zu ProAqua unter dem Stichwort "Berechnung von Sickerschlitzen" Folgendes geschrieben:
"Anders als bei Tiefbrunnen sind Parametervariationen, insbesondere der Schlitztiefe, hier nur in begrenztem Umfang sinnvoll. Dies ist eine Eigenschaft des Berechnungsmodells von Chapman. … Die Untersuchung der Zusammenhänge mit GwR zeigt, dass die einschlägigen Funktionsgraphen häufig Anomalien aufweisen."Diese Warnung war zum Teil berechtigt, zum Teil falsch und andererseits zu speziell. Das eigentliche Problem ist nämlich die Parametervariation bei Q(s), hier ist sie berechtigt, wie wir sehen werden. Falsch ist, dass die Variation der Schlitztiefe ein Problem sei und zu speziell war sie, weil auch vollkommene Sickerschlitze betroffen sind. Bei freien vollkommenen Schlitzen fällt Q(s) linear und auch der Übergang zwischen der gespannten und der freien Oberfläche wird nicht richtig modelliert.
In diesem Text werden die angesprochenen Probleme aufgeklärt und es wird ein einfacher, mit der Primärliteratur verträglicher Lösungsvorschlag präsentiert. Danach sind auch Parametervariationen bei der Berechnung von Sickerschlitzen anomalienfrei möglich.
Wir betrachten im Folgenden nur unvollkommene Schlitze bei freier Oberfläche.
| Oberfläche | frei | |
| Absenktiefe | s | 2,50 m |
| k-Wert | k | 0,0005 m/s |
| Ruhewasserspiegel unter OkG | 1 m | |
| Tiefe Wasserstauer | T | 7 m |
| Eintauchtiefe der Schlitze | H | 4 m |
| Schlitzbreite | b | 0,30 m |
| 4 Schlitze zu 25 m | L | 100 m |
| Zuströmung | einseitig |
Die Abbildung zeigt den mit GwR erstellten Graphen der Funktion s → Q(s).
Der Graph steigt zunächst steil bis zu einer Spitze bei s ≈ 0,6 m an und fällt dann ab – Q sinkt bei zunehmender Absenktiefe! Für Absenktiefen kleiner als etwa 30 cm wird der Graph nicht gezeichnet. Wie hieß es oben? "Die Untersuchung zeigt, dass die Funktionsgraphen häufig Anomalien aufweisen." Und da stand auch: "Dies ist eine Eigenschaft des Berechnungsmodells von Chapman" – oder liegt vielleicht doch ein Fehler vor?
1. Unter Berufung auf amerikanische "Feldversuche" heißt es bei Herth/Arndts1 , "dass der Wert R … nur mit \(R = {1500 \cdot s \cdot \sqrt{k}}\) bis \(R = {2000 \cdot s \cdot \sqrt{k}}\) eingesetzt werden" dürfe. (S. 139). In was eingesetzt?
Der Satz steht zwar im Zusammenhang der Berechnung von Q bei vollkommenen Schlitzen, aber im Berechnungsbeispiel 11 (S. 299f), bei dem es um einen unvollkommenen Schlitz bei freier Oberfläche geht, berechnen Herth/Arndts die Reichweite nach Sichardt mit dem Faktor 2000, so dass man davon ausgehen darf, dass die angesprochene Reduzierung des Faktors für Sickerschlitze überhaupt gilt.
2. Der Wasserandrang zu unvollkommenen Schlitzen bei freier Oberfläche wird nach der folgenden Formel von Chapman berechnet:
$$q=\left( 0,73+0,27\cdot \frac{T-{{t}_{0}}}{T} \right)\cdot \frac{k}{2R}\left( {{T}^{2}}-t_{0}^{2} \right)$$ (Formel 160, S. 142)
Berechnet wird der Zufluss zu einem Meter Schlitz; bei zweiseitigem Zufluss wird q verdoppelt. Außerdem hängt die Berechnung von t0 von der Art des Zuflusses (ein- oder zweiseitig) ab.
3. Es gibt bei Sickerschlitzen noch eine weitere mit der Reichweite verbundene Besonderheit: "Beide Gleichungen (die für q und die für die Berechnung von t0, Sl) haben nur Gültigkeit bei einem Verhältnis \( {{R} \over {T}} {≥ 3} \), d.h bei größerer Tiefe des Wasserstauers sollte T nicht größer als R/3 angesetzt werden." (S. 143, Hervhbg. von mir).
Nach diesen Vorbereitungen kommen wir zur Erklärung des Verlaufs von Q(s), wobei GwR so verfährt, wie es bei Herth/Arndts beschrieben ist.
1. Offenbar ist Q(0) nicht definiert, weil R dann 0 ist und in der Chapman-Formel im Nenner steht.
2. Was ist mit Werten von s in der Nähe von 0? Warum wird z.B. für s = 0,1 m kein Wert für Q ausgewiesen? Für s = 0,1 m ist \(R = {1750 \cdot 0,1 \cdot \sqrt{0,0005}}\) = 3,91 m (ich habe mich beim Faktor in der Reichweiten-Formel für die Mitte des bei Herth/Arndts genannten Intervalls entschieden). Dann ist aber \( {{R} \over {T}} \) = \( {{3,91} \over {7}} \) = 0,56 < 3. Daraus folgt, da T höchstens R/3 betragen darf, dass T auf den Wert 3,91 m / 3 ≈ 1,30 m gesetzt werden muss. Aber dann ist H > Tkorr; GwR betrachtet diese Situation als ungültig und berechnet keinen Wert für q.
3. Mit zunehmendem s wird R und damit R/3 = Tkorr größer. Ab welcher Absenktiefe ist H gültig, wann ist R/3 ≥ H? Da H = 4 m ist, muss R/3 ≥ 4 sein oder \( 1750 \cdot s \cdot \sqrt{k} ≥ 12 \) und das ist für s ≥ 0,306 m der Fall.
Wir wissen jetzt, warum GwR für flache Absenkungen keinen Wasserandrang berechnet und der Graph erst bei s ≈ 0,3 m "beginnt".
Man könnte zusätzlich zur Korrektur von T eine "effektive Eintauchtiefe" Hkorr einführen und diese auf den korrigierten Wert von T setzen. Die Schlitze wären dann vollkommen und Q könnte berechnet werden. Oder man wählt knapp unvollkommene Schlitze und berechnet Q mit der Formel von Chapman. Beiden "Lösungen" haftet eine gewisse Willkürlichkeit an, beide Lösungen sind unbefriedigend. Im ersten Fall, weil es zusätzlich zu einer Unstetigkeit kommt, denn es ist qvollk(s krit.) ≠ qunvollk(s krit.). Auch im zweiten Fall bleibt der grundsätzliche Verlauf erhalten.
Für flache Absenkungen wird H begrenzt und q wird mit der Formel für vollkomene Schlitze berechnet. Zusätzlich zur Verlaufsanomalie kommt es zu einer Unstetigkeit beim Übergang.
Hier werden knapp unvollkommene Schlitze zur Berechnung verwendet. Die Anomalien bleiben bestehen.
4. Wie kommt die Spitze im Funktionsgraph zustande? Dazu berechnen
wir allgemein, ab welchem Wert von s keine Korrektur von T mehr erforderlich
ist.
$$\frac{R}{T}=\frac{{{c}_{Rw}}\cdot s\cdot \sqrt{k}}{T}\ge 3 ⇔ s\ge \frac{3\cdot T}{{{c}_{Rw}}\cdot \sqrt{k}}$$
In unserem Fall erhält man für s = 0,536 m - die Spitze markiert die Stelle, an der s so groß wird, dass die
Bedingung \( {{R} \over {T}} {≥ 3} \) erfüllt und keine Korrektur von T erforderlich ist.
Ich fasse zusammen:
1. Die Bedingung T ≤ R/3 führt nach Herth/Arndts bei einer Variation von s zu einer gleitenden Anpassung von T bis die Reichweite groß genug ist und T nicht mehr korrigiert werden muss. Danach fällt Q(s) monoton ab.
2. Durch eine zusätzliche Korrektur der Eintauchtiefe wird das Problem nicht gelöst, es kommt auch dann zu Anomalien.

Weil R im Nenner steht und t0 bei s = 0 m gleich T sein muss2, gibt es bei s = 0 m eine Polstelle und für flache Absenkungen steigt der Wasserandrang über alle Grenzen. Die bei Tiefbrunnen durch die Sichardt- oder Kussakin-Reichweite bedingten Verlaufsanomalien treten bei Sickerschlitzen in verschärfter Form auf: der Verlauf ist immer voll ungültig.
Nun ist das alles recht unbefriedigend und wir sollten überprüfen, was Chapman eigentlich geschrieben hat. In der Arbeit "Groundwater Flow to Trenches and Wellpoints"3 heißt es unter der Überschrift "Results of Experimental Work" einleitend: "Initial tests were carried out with depth of penetration d and the drawdown h as the main variables, the ratios \( {{ℓ} \over {D}}, {{L} \over {D}}, {{b} \over {D}}\) beeing held constant." Dabei sind:
| ℓ | die Entfernung zwischen Schlitzmitte und dem Punkt des höchsten Anstiegs der Absenkkurve zwischen den Schlitzen |
| D | die Mächtigkeit des Aquifers, also T in unserer Terminologie, |
| L | die Reichweite R |
| b | die Schlitzbreite |
Chapman variiert die Absenk- und die Eintauchtiefe und hält das Verhältnis von R zu T konstant. Da T bei einem konkreten Projekt konstant ist, muss auch R konstant sein, wenn s verändert wird! Insbesondere zieht Chapman keine Korrektur von T in Betracht. Wenn die Bedingung R/T > 3 nicht erfüllt ist, ist die Chapman-Formel nicht anwendbar: "Provided \( {{L} \over {D}}\) is greater than about 3…"
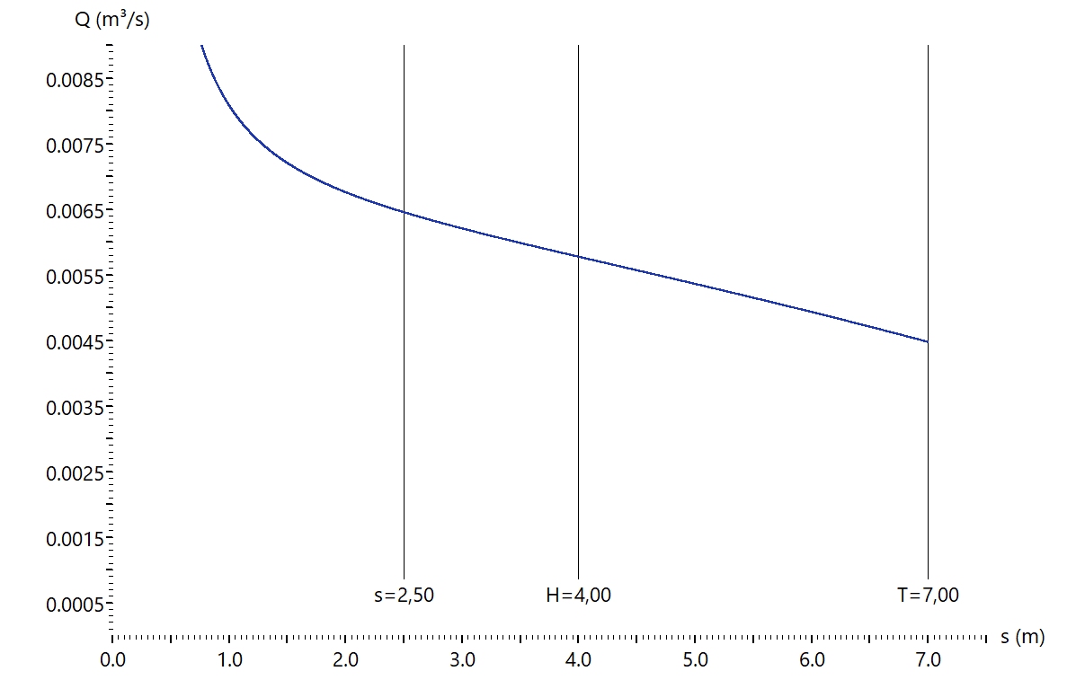
Wir orientieren uns an der Reichweite nach Sichardt für s = 2,5 m und setzen R = 100 m konstant (Dialog: "Reichweite einstellen"). Hier ist der Graph von s → Q(s):

Und wie sieht es bei einer gespannten Oberfläche aus? Gibt es dort ähnliche Probleme? Für die gespannte Oberfläche wird in Herth/Arndts bei einseitiger Zuströmung folgende Formel angegeben:
$$q=\frac{k\cdot m\cdot (T-{{t}_{e}})}{R+\mathsf{ℓ}}$$ Für te gilt dabei: $${{t}_{e}}=\frac{{{t}_{d}}\cdot (R+\mathsf{ℓ})-\mathsf{ℓ}\cdot T}{R}$$ ℓ ist einem Diagramm zu entnehmen.Durch Termumformung erhält man damit:
$$q=\frac{k\cdot m\cdot s}{R}$$ – bei Verwendung der Sichardt- oder der Kusakin-Reichweitenformel ist Q(s) konstant, was nicht sein kann. Wird dagegen die Reichweite konstant gesetzt, so wächst q linear mit s.
Einseitige Zuströmung, gespannte Oberfläche. Links mit Sichardt, rechts mit konstanter Reichweite.
Bei zweiseitiger Zuströmung gilt $$q=\frac{2\cdot k\cdot m\cdot (T-{{t}_{e}})}{R+\lambda \cdot m}$$ Für te wird die oben angegebene Formel verwendet und λ ist einem Diagramm zu entnehmen. Der Verlauf von s → Q(s) ist richtig, wie die folgende Grafik zeigt, allerdings ist Q(s) für größere Absenktiefen nahezu konstant. Mit einer konstanten Reichweite ist Q(s) wieder linear.
Zweiseitige Zuströmung, gespannte Oberfläche. Links mit Sichardt, rechts mit konstanter Reichweite.
Die von Herth/Arndts empfohlene gleitende Anpassung von T ist nicht zu halten. Wenn die Bedingung R/T > 3 nicht erfüllt ist, ist der Ansatz von Chapman nicht anwendbar. Bei vergleichenden Berechnungen mit unterschiedlichen Absenktiefen s ist die Sichardt-Reichweite ungeeignet, vielmehr muss die Reichweite konstant gehalten werden. Unter diesen Voraussetzungen erhält man mit der Chapman-Formel anomalienfreie Verläufe der Funktion s → Q(s). Eine konstante Reichweite beseitigt auch die oben erwähnten Anomalien bei vollkommenen Schlitzen.
Auch bei der gespannten Oberfläche kommt es bei einseitiger Zuströmung zu Verlaufs-Anomalien, die durch eine konstante Reichweite beseitigt werden. Bei zweiseitiger Zuströmung ist der Verlauf näherungsweise richtig, allerdings flacht der Anstieg von Q(s) mit zunehmender Absenktiefe immer mehr ab. Auch hier wird mit einer konstanten Reichweite ein besseres Ergebnis erzielt.
In GwR und in ProAqua ist die Option, die Reichweite konstant zu halten, seit Version 3.1 bzw. 3.6 (beide 16.12.19) vorhanden.
Um bei s → Q(s) die von Chapman vorausgesetzte Konstanz von R/T zu gewährleisten, könnte auch die Minimalreichweite (allgemeiner: eine von s unabhängige Reichweite) verwendet werden. Aber dann würde bei H → q(H) die geforderte Konstanz verletzt – jetzt wäre die von H unabhängige Sichardt - Reichweite wieder möglich. Um beide Größen variieren zu können, ohne die Reichweitenformel zu wechseln, muss R von s und von H unabhängig sein.
Aber es gibt noch ein gewichtigeres Argument gegen die Verwendung der Minimalreichweite bei der Dimensionierung von Sickerschlitzen. Diese Reichweiten-Formel entstammt dem Umfeld der raumzeitlichen Gleichungen für Tiefbrunnen, für die es bei Sickerschlitzen keine Entsprechung gibt. So ist die in die Formel eingehende Zeit die Vorlaufzeit, die für Sicherschlitze nicht berechnet werden kann.
1. ∧ Herth, W.,Arndts, E., Theorie und Praxis der Grundwasserabsenkung, 3. Aufl. Ernst & Sohn, Berlin 1994
2. ∧ Wenn s = 0 m ist, dann ist der „Wasserstand über Stauer“ (und das ist t0) gleich T. Ebenso: Wenn s = T m ist, dann muss t0 gleich 0 sein. Zwischen diesen beiden Punkten verläuft der Graph von s → t0 leicht gekrümmt fallend, wenn man die Reichweite konstant setzt. Bei Verwendung der Sichardt-Reichweite führt die Berechnung von t0 bei flachen Absenkungen ebenfalls zu Anomalien.
3. ∧ Chapman, T. G., Groundwater Flow to Trenches an Wellpoints, Journal of the Institution of Engineers, o.O. Australia, 1956, Oct.-Nov., H.10/11, 275-280.